start page | rating of books | rating of authors | reviews | copyrights

UNIX in a Nutshell: System V Edition

UNIX in a Nutshell: System V EditionSearch this book
Previous: 17.1 tblChapter 17
troff Preprocessors
Next: 17.3 pic
 

17.2 eqn

eqn is a preprocessor designed to facilitate the typesetting of mathematical equations. Use neqn with nroff. eqn has the following command-line syntax:

eqn [options] [files]

The canonical reference for eqn is Typesetting Mathematics -- User's Guide, by L.L. Cherry and B.W. Kernighan, in UNIX Programmer's Manual, Tenth Edition, Volume 2, AT&T Bell Laboratories, M.D. McIlroy and A.G. Hume editors, Holt Rinehart & Winston, 1990. This paper may be downloaded from http://cm.bell-labs.com/cm/cs/doc/74/eqn.ps.gz.

17.2.1 Options

-dxy

Use x and y as start and stop delimiters; same as specifying the eqn directive delim xy.

-fn

Change to font n; same as the gfont directive.

-pn

Reduce size of superscripts and subscripts by n points. If -p is not specified, the default reduction is 3 points.

-sn

Reduce the point size by n points; same as the gsize directive.

-Tdev

Format output to device dev. The default value comes from the TYPESETTER environment variable. Not available with neqn. (This option is not on Solaris eqn.)

17.2.2 eqn Macros

.EQ

Start typesetting mathematics.

.EN

End typesetting mathematics.

Use the checkeq command to check for unmatched macro pairs. (Not all systems have it, though.)

17.2.3 Mathematical Characters

The character sequences below are recognized and translated as shown:

CharacterTranslationCharacterTranslation
>=>=approxGraphic 
<=<=nothing 
====cdot.
!=!=times×
+-±delGraphic 
->->gradGraphic 
<-<-......
<<<<,...,,...,
>>>>sum[Sigma]
inf[infinity]int[integral]
partialdprod[Pi]
half½unionU
prime'inter[cap]

17.2.4 Mathematical Text

Digits, parentheses, brackets, punctuation marks, and the following mathematical words are printed out in roman font:

sincostanarc
sinhcoshtanh 
andiffordet
maxminlim 
loglnexp 
ReIm  

17.2.5 Greek Characters

Greek letters can be printed in uppercase or lowercase. To obtain Greek letters, simply spell them out. Some uppercase Greek letters are not supported because they can be specified by a roman equivalent (e.g, A for alpha, B for beta).

NameCharacterNameCharacter
alpha[alpha]tau[tau]
beta[beta]upsilon[upsilon]
gamma[gamma]phi[pi]
delta[delta]chi[chi]
epsilon[epsilon]psi[psi]
zetaomega[omega]
eta[eta]GAMMA[Gamma]
theta[theta]DELTA[Delta]
iota[iota]THETA[Theta]
kappa[kappa]LAMBDA[Lambda]
lambda[lambda]XI[Xi]
mu[mu]PI[Pi]
nu[nu]SIGMA[Sigma]
xi[xi]UPSILON[Upsilon]
omicron[omicron]PHI[Phi]
pi[pi]PSI[Psi]
rho[rho]OMEGA[Omega]
sigma[sigma]  

17.2.6 Diacritical Marks

Several keywords are available to mark the tops of characters. eqn centers a mark at the correct height. bar and under span the necessary length.

CharacterTranslation
x dotGraphic 
x dotdotGraphic 
x hatGraphic 
x tildeGraphic 
x vecGraphic 
x dyadGraphic 
x barGraphic 
x underGraphic 

17.2.7 Keywords Recognized by eqn

In addition to character names and diacritical marks, eqn recognizes the following keywords.

above

Separate the pieces of a pile or matrix column.

back n

Move backwards horizontally n 1/100s of an em.

bold

Change to bold font.

ccol

Center-align a column of a matrix.

cpile

Make a centered pile (same as pile).

define

Create a name for a frequently used string.

delim xy

Define two characters to mark the left and right ends of an eqn equation to be printed inline. Use delim off to turn off delimiters.

down n

Move down n 1/100s of an em.

fat

Widen the current font by overstriking it.

font x

Change to font x, where x is the name or number of a font.

from

Used in summations, integrals, and similar constructions to signify the lower limit.

fwd n

Move forward horizontally n 1/100s of an em.

gfont x

Set a global font x for all equations.

gsize n

Set a global size for all equations.

italic

Change to italic font.

lcol

Left-justify a column of a matrix.

left

Create big brackets, big braces, big bars, etc.

lineup

Line up marks in equations on different lines.

lpile

Left-justify the elements of a pile.

mark

Remember the horizontal position in an equation. Used with lineup.

matrix

Create a matrix.

ndefine

Create a definition that takes effect only when neqn is running.

over

Make a fraction.

pile

Make a vertical pile with elements centered above each other.

rcol

Right-adjust a column of a matrix.

right

Create big brackets, big braces, big bars, etc. Must have a matching left.

roman

Set following constant in roman.

rpile

Right-justify the elements of a pile.

size n

Change the size of the font to n.

sqrt

Take the square root of the following equation element.

sub

Start a subscript.

sup

Start a superscript.

tdefine

Make a definition that applies only to eqn.

to

Used in summations, integrals, and similar constructions to signify the upper limit.

up n

Move up n 1/100s of an em.

~

Force extra space into the output.

^

Force a space one-half the size of the space forced by ~.

{ }

Force eqn to treat an element as a unit.

"..."

A string within quotes is not subject to alterations by eqn.

17.2.8 Precedence

If you don't use braces, eqn performs operations in the order shown in this list, reading from left to right.

dyadvecunderbar
tildehatdotdotdot
fwdbackdownup
fatromanitalicbold
sizesubsupsqrt
overfromto 

These operations group to the left:

oversqrtleftright

All others group to the right.

eqn defines a language for writing mathematics. Thus, there is a grammar with rules about how to group and order items within the equation. See the Bell Labs memorandum for the full story.

17.2.9 eqn Examples

Input:

.EQ
delim %%
.EN
%sum from i=0 to inf c sup i~=~lim from {m -> inf}
sum from i=0 to m c sup i%
.EQ
delim off
.EN

Result:

Graphic

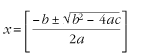
Input:

.EQ
x ~=~ left [ { -b ~+-~ sqrt {b sup 2 - ~4ac} } 
over 2a right ]
.EN

Result:

Graphic


Previous: 17.1 tblUNIX in a Nutshell: System V EditionNext: 17.3 pic
17.1 tblBook Index17.3 pic

The UNIX CD Bookshelf NavigationThe UNIX CD BookshelfUNIX Power ToolsUNIX in a NutshellLearning the vi Editorsed & awkLearning the Korn ShellLearning the UNIX Operating System